双折射材料能对不同波段激光的偏振态进行调制进而被制作为光隔离器和棱镜偏振器等光学器件。迄今为止,尽管有数种商用双折射晶体已实用化,但是可应用于深紫外波段的双折射晶体仍十分有限。因此亟需寻找新的光学活性基团并基于此设计新的高性能的深紫外双折射晶体。对于深紫外双折射晶体而言,影响双折射率的关键在于功能性阴离子基元的类型及其在晶格中的排列。像[BO2]、[BO3]这样的π共轭基元与诸如[TOxX4–x] (T = B, P, Si, S; X = F, N; x = 0-4)的非π共轭基元是最常见的构筑单元。π共轭基元在同一平面内聚合或非π共轭基元的同向排列能增强极化率各向异性。此外,在非π共轭的四面体中引入杂原子能导致双折射的增益,但是这些四面体的光学各向异性较π共轭基元而言还是小了一个数量级,因此目前研究还是聚焦于π共轭体系。在实际材料设计中,考虑到非π共轭基元有助于消除π共轭基元的非键态从而拓宽带隙,更倾向将π共轭基团和非π共轭基团组装到一起以同时发挥二者的优势来满足深紫外波段的应用。为此,同时具有π共轭[BO3]基元与非π共轭[BOxF4–x]基元的硼酸盐是探索深紫外双折射晶体的优选体系。
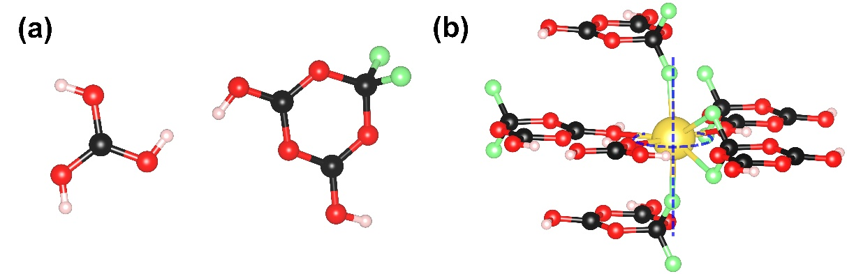
近日,中国科学院新疆理化技术研究所中科院特殊环境功能材料与器件重点实验室潘世烈研究团队提出了两种有效的策略:(1)通过引入羟基来增强[BO3]中π电子的离域同时消除其非键态;(2)通过将π共轭基元和非π共轭基元组装到一起来拓宽透光范围。基于此,将两种罕见的阴离子基团[B3O3F2(OH)2]和[B(OH)3]组合到一起获得了一例羟基氟化硼酸钠Na[B3O3F2(OH)2][B(OH)3](简称为NBF)。NBF的结构以在(011)平面内[B3O3F2(OH)2]和[B(OH)3]通过氢键连接形成的二维伪层为特征。其中[B3O3F2(OH)2]和[B(OH)3]是共平面排列的。本文通过固态核磁、红外光谱和理论计算等多种方式鉴定了其结构中存在的[B3O3F2(OH)2]和[B(OH)3]基团,为今后该类基团的鉴别提供了参考。NBF的透过光谱从实验上证明了其在紫外波段具有宽的透过(< 180 nm)。第一性原理计算进一步揭示了NBF的大双折射率源自于[B3O3F2(OH)2]和[B(OH)3]异阴离子的协同作用。通过理论计算证实了[B(OH)3]相较于脱质子的[BO3]基元具有更大的极化率各向异性,此外,由[BO2(OH)]与[BO2F2]聚合得到的[B3O3F2(OH)2]也具有大的极化率各项异性。这表明NBF中的两种基团都是构筑深紫外双折射材料的优异基团。
NBF晶体是首例羟基氟化硼酸钠,它表现出短的紫外吸收截止边、宽的光学带隙和大的双折射率,是一例性能优异的深紫外双折射晶体。此项研究对于在羟基氟化硼酸盐体系中探索性能优异的深紫外双折射晶体具有重要的研究意义,为探索高性能深紫外线性/非线性光学晶体提供了新体系。相关研究成果发表于化学顶级期刊《德国应用化学》,中科院新疆理化所为唯一完成单位,在读研究生金聪聪和师旭平为共同第一作者,该研究工作得到国家基金委,科技部,中科院等项目资助。
论文链接:https://onlinelibrary.wiley.com/doi/10.1002/anie.202107291

图为Na[B3O3F2(OH)2][B(OH)3]晶体双折射率活性基团
